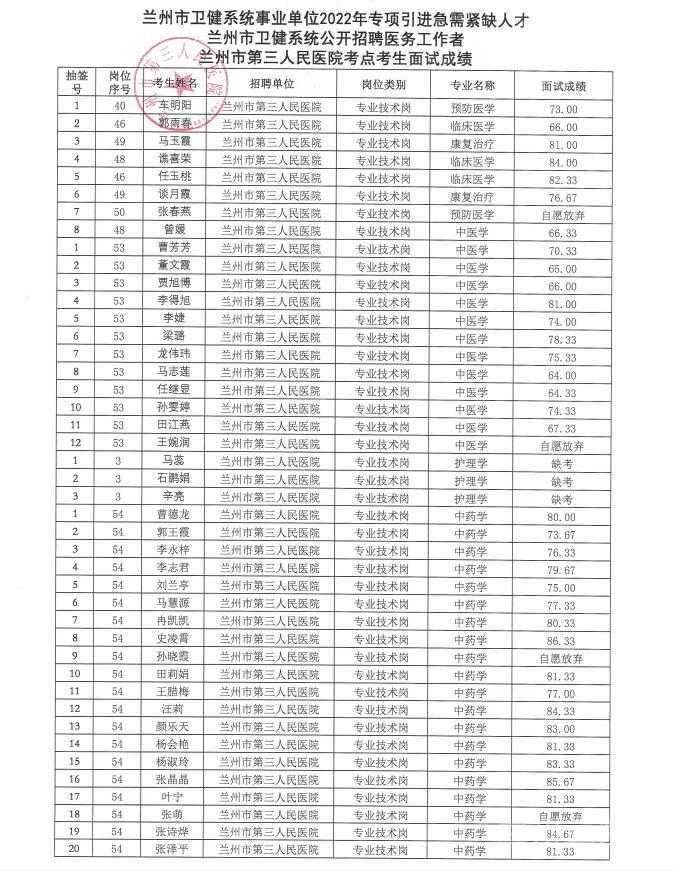
兰州市卫健系统事业单位2022年专项引进急需紧缺人才线上面试成绩公示

发布时间:2022-12-26 | 来源:兰州市第三人民医院 | 点击数:25282


官方微信公众平台

医院地址:甘肃省兰州市七里河区龚家湾建兰新村130号 老年护理院:0931-2403965 心理援助热线:0931-4638858 值班电话:0931-2861575 就诊时间:周一~周五 8:00~21:00
版权所有:兰州市第三人民医院  陇ICP备15002606号-1

甘公网安备 62010002000285号